2020年 3月 17日
回答
ノズルごとのエアー噴出量の把握方法、ノズルから出たエアーの推力のうち有効に活用されている比率の求め方などの観点からエアーブローの省エネを考えてみます。
1.エアブローの用途
圧縮空気の用途には次のようなものがあります。
-
エアーブロー: 水分、油分の除去、切り粉除去、その他異物除去、冷却、乾燥、塗装等のスプレー、小物の選別機(図1)
-
作動用: エアシリンダー、エアモーター、エアクランプ、エアブレーキ、空圧工具(ドリル、タガネ、グラインダー等)
-
その他: (活性汚泥等用)曝気、粉体輸送、エアジェット織機
この中でエアブロー用の圧縮空気の使用量は多く、「とくに機械工場では全空気使用量の50%もの割合をエアブローが占める実態が判明してきている」 1) といわれています。
このエアーブロー用の圧縮空気を減らすには、まず、ノズルから噴出されるエアーの状況を知っておく必要があります。
2.ノズルからのエアーの流れ
管路内に設けられた狭い断面積のオリフィスを圧縮空気が流れる場合を図2に示します。このとき、オリフィス前後の圧力の比と流量の関係は図3のようになります。ここで、圧力は絶対圧、流量は質量流量です。
図3の横軸上、オリフィスの上流側と下流側の圧力が等しい「1」の点では流量は0です。上流側の圧力が高まるのに伴い流量が増加しますが、圧力比が0.528以上では流速は音速となり、流量は頭打ちとなります。この0.258を臨界圧力比といいます。また、臨界圧力比以下で流量が飽和した状態の流れをチョーク流れ、臨界圧力比以上で圧力比の増大と共に流量が減る状態の流れを亜音速流れといいます。
エアブローでは上図での下流側圧力は大気圧なので、絶対圧では0.1 [MPa]となります。そのとき、臨界圧力比0.528となるような上流側圧力は絶対圧で0.2 [MPa]、ゲージ圧で0.1 [MPa]となります。
したがって、ブロワーでなく、コンプレッサーを使用している場合のエアーブローではチョーク流れの場合が多いと推定されます。
3.エアブローの流量
エアブローの空気は、通常、コンプレッサー等により電気エネルギーを使用して生み出されたものです。その省エネルギーを考える際には、エアーブローの各ノズルで使用されているエアーの流量がわかることが望まれます。
2項の考え方をエアブローに適用すると、下流側圧力は上記のように、0.1[MPa]となります。また、空気の噴出量は以下のようになります。
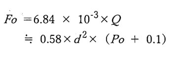
1) Po ≧ 0.1 [MPa]のとき
(注1)ここではPoはゲージ圧。
ここで、
Q: 空気の噴出量[dm3/min(ANR)](注2)
(注2)ANRは標準状態で20℃、1atm、湿度65%のこと。
d:ノズル内径[mm]
Po:ノズル開口部直前の圧縮空気の圧力[MPa]
2) Po <0.1 [MPa]のとき
となります。
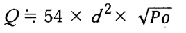
1)と2)を合わせてグラフにしたのが図4です。これによりノズルの直前圧とノズル内径からエアーブロー時の空気の流量を容易に求めることができます。
コンプレッサーの使用電力量と吐出空気量から圧縮空気の単価を計算すれば、エアブローの箇所ごとに電気料金がいくらかかっているかがわかります。
4.噴流の推力
吹き出したエアーの推力が、目的とする用途にどのくらい有効に使われるか、という点について考えてみます。
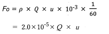
エアブローが対象ワークに及ぼす作用は、ワークとの衝突面での運動量変化になります。ブローが直角に当たる部分での全推力Fo[N]は、次式のようにノズル出口における圧縮空気の質量流量と速度の積で表されます。
ここで
ρ:標準状態における空気の密度 1.197 [kg/m3]
Q :圧縮空気の流量[dm3/min(ANR)]
u :ノズル出口における圧縮空気の流速[m/s]
とくに、ノズル直前圧Po≧0.1[MPa]のチョーク流れの場合は
となります。
噴流の軸線中心における半径xの円形ワークへの推力Fとノズル出口からの距離ℓとの関係を図5に示します。dはノズルの内径です。F、ℓ、xはそれぞれFo、d , dで除し無名数化しています。
図5において、d=2mm、x/d=5のとき、すなわち半径x=10mmのワークに対する推力を見てみます。ℓ/d=35すなわち距離ℓ=70mm以下はF/Fo=1すなわちノズル出口と同じ推力です。
ℓ=200mmすなわちℓ/d=100mmではF/Fo=0.5とノズル出口の半分の推力になります。
このように、ℓ/dが0から一定の値まではFoが100%有効に使われ、ℓ/dがその値以上になると推力のロスが生じ、その大きさが図5からわかります。
5.まとめ
エアーブローに関しては、コンプレッサーの使用を止め、より発生圧力の小さいブロワを導入し、エアーの圧力を大幅に下げることにより省エネができる方法があります。2) しかし、そのためにはブロワ購入設置などの費用がかかりますので、今回は、従来どおりコンプレッサーを使用した場合の省エネの観点を記しました。
【参考文献】
1) 小根山 尚武.空気圧システムの省エネルギー.(財)省エネルギーセンター、2003
2) 市橋 立己. エアブローのブロア化.省エネルギー.2006, vol.58、no.5 、(財)省エネルギーセンター
- 回答者
-
エネルギー管理士 本橋 孝久

